Multiplicity
If a polynomial p(x) has multiple roots at r, the multiplicity of r refers to the number of times (x – r) occurs as a factor of p(x). These are also called repeated roots. For example, p(x) = (x – r)3 means that the root r has a multiplicity of 3.
Roots
The roots of a polynomial p(x) are values of a variable that satisfy the equation p(x) = 0. These are also known as solutions, zeros, and x-intercepts.
In addition, let us also define the standard form and degree of a polynomial as below:
Let p(x) be a polynomial of the form
where are the coefficients to the variables respectively.
The degree of a polynomial is the highest power of x in a polynomial with non-zero coefficients.
With that in mind, we can establish the following theorem.
The Fundamental Theorem of Algebra
If p(x) is a polynomial of degree n ≥ 1, then p(x) = 0 has exactly n roots, including multiplicities and complex roots.
Note that n refers to the highest degree of a given polynomial. Proving this theorem is beyond the scope of this syllabus. Thus, it is not necessary for you to verify it! However, it is important that you know how to apply this concept to factoring and solving polynomials.
It is helpful to recall that the term complex here describes a complex root with a non-zero imaginary part, say, a + bi, where a is real and b ≠ 0. As complex roots always come in conjugate pairs, this implies that a - bi is also a root to the polynomial.
Application of the Fundamental Theorem of Algebra
Now, let us apply the Fundamental Theorem of Algebra. We shall present several worked examples in this segment that will provide us with a clearer understanding of the concept with regard to factoring and solving polynomials. For simplicity, we shall use the abbreviation FTA to define the Fundamental Theorem of Algebra.
Identifying the Number of Roots in a Polynomial
Using FTA, determine the number of roots for the polynomial
Solution
The degree of f(x) is n = 4, Thus, by FTA we have 4 solutions.
Using FTA, determine the number of roots for the polynomial
Solution
The degree of f(x) is n = 7, Thus, by FTA we have 7 solutions.
Therefore, from FTA we can easily deduce that:
a linear polynomial (degree 1) will have one root
a quadratic polynomial (degree 2) will have two roots
a cubic polynomial (degree 3) will have three roots
an nth degree polynomial will have n roots
Identifying the Zeros and Degree of an Equation
Let us first define a specific form of a factorized polynomial as below:
A polynomial p(x) of the form
can be rewritten as a product of linear factors as
where are the roots of the polynomial.
Given the factored polynomial below,
determine the number of roots each equation has and find all their solutions.
Solution
Setting f(x) = 0 and using the Zero Product Property, we find that the roots are
As there are 3 roots in total, so by FTA, the polynomial must be a degree of 3.
Given the factored polynomial below,
determine the number of roots each equation has and find all their solutions.
Solution
Similarly, as before, we find that the zeros of the polynomial are
As there are 6 zeros in total, so by FTA, the polynomial must be a degree of 6.
Previously, we had mentioned that complex roots always come in conjugate pairs. This means that polynomials of even degrees can be made up of either all real roots or all pairs of complex roots (or a combination of both). Polynomials of odd degrees, however, cannot be made up of all pairs of complex roots. In this case, it will be made up of a combination of real roots and pairs of complex roots (or only real roots). We shall demonstrate this with the following examples.
Factorize and solve the polynomial below.
Solution
We first set f(x) = 0 as
Observe that this is a difference of two squares. From Special Products, we know that this becomes
Similarly, we can further factorize as
Solving this, we obtain
This polynomial has an even degree of 4. This, we have 4 roots made up of 2 real roots and 2 complex conjugate roots.
Factorize and solve the polynomial below.
Solution
Setting f(x) = 0, we have
Using the grouping method, we can factorize this as
Solving this we have
This polynomial has an odd degree of 3. Thus we obtain 3 roots made up of one real root and 2 complex conjugate roots.
So far, we have looked at polynomials that can be factorized as a product of linear factors. In some cases, we may encounter irreducible quadratics. An irreducible quadratic is one that we can no longer break down into a product of linear factors.
Take the last two examples for instance. The expressions x2 + 9 and x2 + 4 are examples of irreducible quadratics. We find that these expressions are made up of a product of 2 complex conjugates roots. Here,
Multiplying a pair of complex conjugate roots takes the general formula:
This brings us to the question: what if the irreducible quadratic is not of the form above? We thus need to find a method to identify an irreducible quadratic. To do this, we shall make use of the discriminant of a quadratic polynomial. The following is a general rule we should follow when we encounter such quadratics.
The Discriminant of a Quadratic Equation
For a quadratic polynomial
the discriminant describes the roots of the polynomial. There are three cases to consider here.
Case 1: D > 0
p(x) can be reduced further into a product of linear factors. We will obtain two distinct real roots.
Case 2: D = 0
p(x) can be reduced further into a product of multiplicities. We will obtain one real repeated root.
Case 3: D < 0
p(x) becomes an irreducible quadratic. We will obtain two complex conjugate roots.
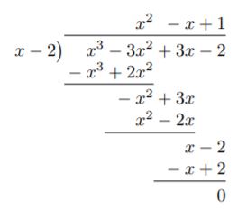
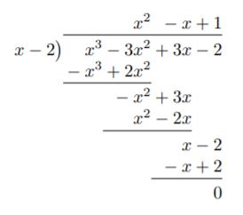
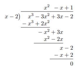
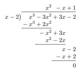
Factorize and solve the polynomial below.
Solution
Setting f(x) = 0, we have .
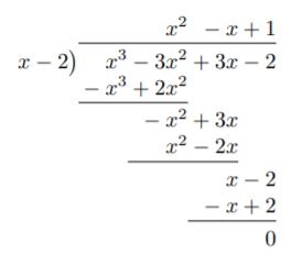
By FTA, we observe that f(x) has a degree of n = 3, and so we must have 3 solutions. Using long division, we can factorize f(x) as .

From here, we can see that the equation
is an irreducible quadratic since the discriminant is less than zero as below.
Thus, we must use the quadratic formula to solve the remaining two roots as
Therefore, we have one real root, x = 2 and a pair of complex conjugate roots
Building a Polynomial Using FTA
In this final section, we will show two worked examples that will demonstrate how we can use FTA to create a polynomial from a given statement.
Write an algebraic expression in the standard polynomial form where the zeros are 3 and –5. The polynomial has a degree of 3 and the root –5 has a multiplicity of 2.
Solution
If the zeros of the polynomial, say f(x) are 3 and –5, then f(x) will have factors of (x – 3) and (x + 5).
We also know that the degree of f(x) is 3, so by FTA, we must have 3 roots or in other words, 3 factors. So f(x) would look something like
We also know that the multiplicity of -5 is 2, therefore, we must have two factors of (x + 5). Thus, we obtain
Expanding this using the FOIL method, we have the standard form of f(x) as
Write an expression in the standard polynomial form where the zeros are –3, –4i, and 4i. The root –3 has a multiplicity of 2. What is the degree of this polynomial?
Solution
Since -4i and 4i are a pair of complex conjugate roots, we may use the product of two complex conjugate pairs. If the zeros of the polynomial, say f(x) are –3, –4i, and 4i, then f(x) will have factors of (x + 3) and (x2 + 16).
We also know that the multiplicity of –3 is 2, therefore, we must have two factors of (x + 3). Thus, we obtain the completely factored form below.
From the statement and the factored form above, we find that f(x) contains 4 roots: 2 real repeated roots, x = –3, and a pair of complex conjugate roots, x = –4i and x = 4i. So, by FTA, f(x) must be a degree of 4.
Expanding this using the FOIL method, we have the standard form of f(x) as
Fundamental Theorem of Algebra - Key takeaways
- The Fundamental Theorem of Algebra states that a polynomial p(x) of degree n has n roots when p(x) = 0.
- A polynomial of a the form p(x) = an xn + ... + a1 x1 + a0 , can be factorized as a product of linear factors of the form p(x) = a( x – r1 )( x – r2 ) ... ( x – rn ).
- The zeros of a polynomial may be in the form of real numbers, multiplicities, or complex numbers.
- Complex numbers always come as a pair of complex conjugates.
- A polynomial can be factored into a product of the following two forms:
- a linear factor
- an irreducible quadratic
- A multiplicity is a repeated root, that is a factor that appears more than once in an expression.